I kept waking up feeling kind of shitty then feeling better throughout the day and still had some COVID tests so I figured I’d take one just to rule it out as a possibility and got a nice dark T line instead. I also had my Apple Watch warning me that 3 of my 5 vitals it monitors were off so I had a feeling I was sick with something.
If I’m reading the abstract correctly, that’s only in some cases, like symptoms that lasted more than 12 weeks.
I don’t always try to honor veterans, but when I do I make sure it’s about me as much as possible.
As someone who’s Vietnam vet dad just passed away in a VA hospice, fuck people like this so much.
Ah yes, the ole POW/MIA flag. They really need to bring our boys back home!
Yeah, promoting discredited conspiracy theories is another sign of genuine respect.
That is a truly painfully written sentence that I am not smart enough to understand. This bit from the discussion section is a bit more legible:
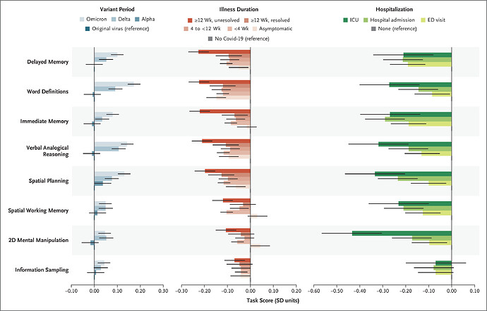
In this large community-based study, we found that Covid-19 was associated with longer-term objectively measurable cognitive deficits. The difference of approximately −0.2 SD in the global cognitive score in the groups of participants who had symptoms that had resolved, as compared with the no–Covid-19 group, is classified as “small” according to Cohen’s effect sizes; this deficit would equate to a difference of −3 points on a typical IQ scale, in which 1 SD equals 15 points. Participants with unresolved persistent symptoms had a greater mean difference of approximately −0.4 SD. This downward shift was most evident at the distribution extreme, with a probability of task performance below the cutoff point for moderate impairment (−2 SD) that was 2.4 times as high among these participants as that in the no–Covid-19 group. ICU admission was associated with larger cognitive differences relative to the no–Covid-19 group (−0.63 SD, equivalent to a difference of −9 IQ points), with the probability of a score that was below −2 SD being 3.6 times as high as that in the no–Covid-19 group; this finding aligns with previous findings of medium-to-large-scale cognitive deficits in patients hospitalized in a critical care unit.
Hmm, maybe the incomprehensible statement is saying people who had symptoms that resolve quickly have deficits similar to those who take longer to resolve and both those sets have greater deficits than the no-covid group.
It would probably all be more clear if I hadn’t had covid.
I haven’t had covid and it’s clear as mud.
But it sure makes me not want to get covid ever. Glad there’s no more boosters!
Did you find a distribution of amount effect in there anywhere? Like is this just a few people with severe brain fog skewing it for everyone else? Or is the 3 IQ points more uniform?
3 IQ is probably like half the effect of bed rest and limited mobility. Maybe COVID made them smarter.
I didn’t really read over the methods, mostly just skimmed. ANd of course I assume all cognitive testing stuff is a bit dodgy. But the basic findings are regression based. Here are a couple of the summary findings charts:
Looks like if you have an asymptomatic case you might get a little boost to your Spatial Working Memory - so that’s nice!
Feel very happy that you didn’t get sick before you were able to get vaccinated. I’m going to lie to the pharmacist before the school year in order to get another booster. Wish I had stockpiled those Paxlovid anti-virals when you could get them pretty easily and cheaply, oh well.
How do I lie to the pharmacist to get a booster?
-3 iq points? that’s no more brain damage than a week of binge drinking or an hour on a cell phone
Pro tip: maybe don’t go to a punk scene wearing a Nazi shirt
Can we get some of these people to run for the Dems?
-3 IQ is a sign of a great weekend.
Well I don’t know what the new rules will mean for this, but I am not ashamed to say that I have been going to the pharmacist every 6-10 months or so and saying that I am immunocompromised and have never had a problem with getting one or blowback from United insurance. Happy to report back in September if you want.


